Ch15 The Demand for Factors of Production

Factor_D_1 Factor_D_2 Factor_D_3 (giffen) Factor_D_4 HW Ch15 & Ch17
1 factor¶

2 factor¶

not a Giffen good¶
Giffen good Recap¶
Ch4 的內容? 季芬財
(分析 X 時看右兩條,分析 Y 時看左兩條)
價格上升時,需求增加
因為 income effect > substitution effect
發現也是劣等財
in oher words, Giffen good 是 inferior good (with negative income effect), so when its price increases, income decreases, income effect will cause its demand to rise, while substitution effect will cause its demand to fall, 又 income effect outweighs substitution effect, so overall its demand will increase
香港經濟學家張五常教授認為這種「季芬財」根本不成立。他解釋︰麵包價格除了貨幣價格之外,還有看不見的機會成本。對比其他食物的價格飛漲,麵包的「總價格」是相對下降了,價格降低,消費量自然上升。當時的低收入工人面對麵包價格上漲,只有犧牲其他高消費的食物如馬鈴薯、肉類(其他食物的價格也在上升),以多購「較便宜的」麵包裹腹。正常的價格機制仍在作用。
即使麵包價格下降,因為人與人之間存在著競爭,使季芬財無法在實際中存在。
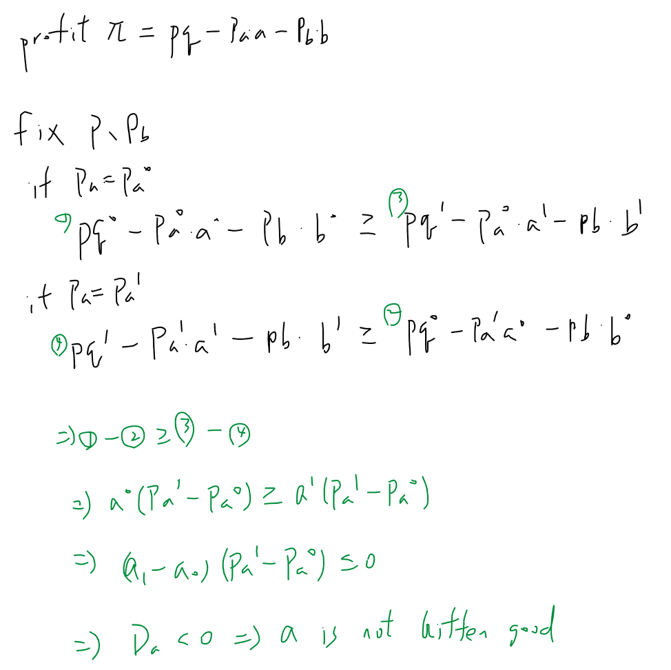
factor isn't a Giggen good¶

producer's surplus¶
in constant-cost industry,PS = 0

in increasing-cost industry 若成因是 factor 價格隨 industry 規模擴大(產量增加)而上漲 ↓

看起來像是 producer surplus 的那塊其實是跑到了 factor supplier 手裡
HW¶
#1難¶


N1¶



N2¶
(c) 小題請證明產業長期供給(而非總成本) 為:Q = P; (d) the demand curve is: Q = 1, 500 − P



(分析 X 時看右兩條,分析 Y 時看左兩條)