Power Engineering¶
General¶
Constants¶
- 1 feet = 12 inches
- 1 mile = 1.609 km
Formulas¶
because \((a+jb)(a-jb) = a^2+b^2\)
Phasor¶
Hyperbolic functions¶

Generator Rotating Speed¶
rotating speed of a generator = 120 x frequency / # of poles
e.g. 60Hz, 2 poles -> 3600 rpm
Ch2 Basic Principles¶
Complex Power¶




cos & sin 積起來時被消掉





I lags V \(\phi\) -> phasor = \(\phi\)
- lagging -> \(\phi>0\)
- leading -> \(\phi<0\)
power factor (PF)

Impedance¶

Three-Phase Power¶
Each separated by \(120^{\circ}\), s.t. the instantaneous power is constant

Balanced Three-Phase Power¶

Each of the neutral points has the same voltage.
pf

Knowing this, we can simplify the circuit

Impedance¶
Delta Wye Transformation

pf

Voltage¶

We know \(V_{an}\), \(V_{bn}\), \(V_{cn}\) are in sequence with common difference = \(-120^\circ\), now we can get the relationship between \(V_{an}\) & \(V_{ab}\)
Power¶
Power = single phase power x 3

Problems¶
Basic Formula¶

Per phase¶

If 440V is \(3\phi\), \(I\) should be \(\dfrac{S_{1\phi}}{\frac{440}{\sqrt{3}}}=328.04\) A
http://publish.illinois.edu/ece-476-fall-2017/files/2017/08/HW1Sol.pdf
Delta Wye Formula¶

Positive sequence
$$V_{an}=\dfrac{V_{ab}}
{\sqrt{3}\angle{30^{\circ}}}=120\angle{90^\circ}$$
Ch3 Transmission Line¶
- H = magnetic field intensity
- B = magnetic field density



Infinite straight wire¶
\(H\) outside the condutor

\(H\) inside the condutor

Conductor Bundling¶
GMR = geometric mean radius = goemetric mean of \(r'\) & the distance from one point to each of the other points
Inductance per meter \(l\) \(\(l=\dfrac{\mu_0}{2\pi}ln\dfrac{D_m}{R_b}\)\)



Inductance per meter¶
Inductance per meter of three-phase tranposed lines





More problems
https://eegate.in/inductance-of-transmission-line-solved-numericals/
Phase-Neutral capacitance¶
phase-neutral capacitance

Note that \(R_b^c\) uses \(r\) instead of \(r'=re^{-\frac{1}{4}}\) !!!!
Ch4 Transmission-Line Modeling¶
Terminal¶
\(Z_c\) = surge impedance
\(P_\mathrm{SIL}\) = surge impedance loading

\(\gamma = \alpha+j\beta\)
- \(\gamma\) = propagation constant
- \(\beta\) = phase constant



Transmission Matrix¶



Short Line¶

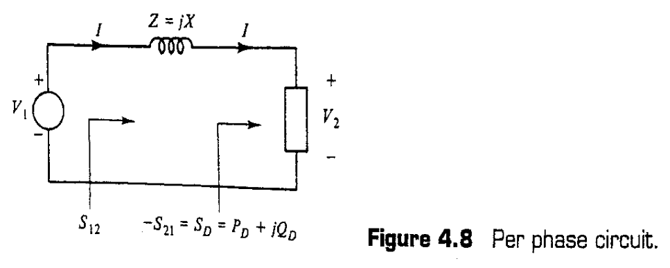
\(S_{12}\) = complex power from bus 1 to bus 2

Power Cycle Diagram¶


Radial Line¶
Voltage at near, complex load at rear

Use Z=jX in the short line \(S_{12}\) formula

\(P_{12}=-P_{21}\)


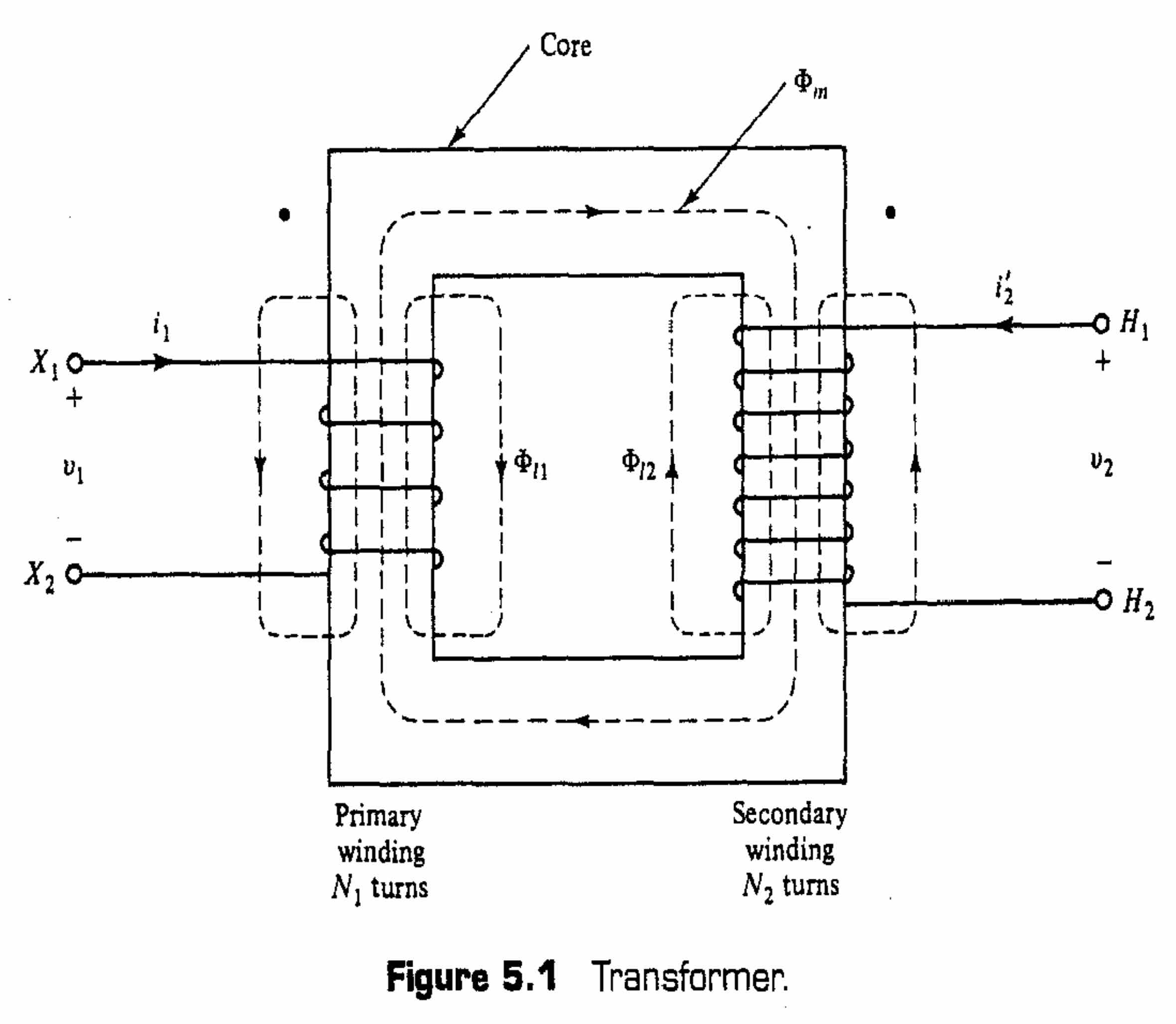
Ch5 Transformer¶


- \(a=\dfrac{N_1}{N_2}\)
- \(V_1=aV_2\)
- \(I_1=\dfrac{1}{a}I_2\)

Inductance¶

Autotransformer¶


- Redraw into 5.28 (b)
- Calculate
- \(V_2=V_1+2V_1=3V_1=360V\)
- \(V_2=I_2(7+j8)=I_2(10.63\angle 48.81^\circ)\)
- \(I_2=33.87\angle(-48.81^\circ)\)
- \(I_1=2I_2+I_2=3I_2=101.61\angle(-48.81^\circ)\)
Three-Phase Transformer¶



Problem

- Wye-Delta connection
- \(n=58\)
- \(V_{a'n'}=\dfrac{n}{\sqrt{3}}\angle(-30^\circ)V_{an}\)
- \(V_{bn}=V_{an}\angle(-120^\circ)\)
Per-Phase Transformer Analysis¶

\(K_1\) = gain = \(\sqrt{3}n\angle(30^\circ)\)

Per Unit Normalization¶
indicated by p.u.

Changing base





Ch6 Generator Modeling 1 - Machine Viewpoint¶
Round-Rotor Machine¶


Problem

Salient-Pole¶
With \(X_d\) & \(X_q\)


\(a'\) has the same angle as \(E_a\) & \(I_{aq}\)


To find \(E_a\) given everything else
- find \(a'\) to know the angle of \(I_{aq}\) & \(E_a\)
- Find \(I_{aq}\) & \(I_{ad}\) with \(|I_a|cos\theta\) with \(\theta\) being the angle diff with \(I_a\)
- Find \(E_a\)


If \(3\phi\) short circuit

